5020mAh+双充电 金立M5 Plus续航测试

中关村在线

阅读

在去年6月份,金立M5以6020mAh的惊人大电池巩固了金立在长续航智能手机领域里的领先地位,时隔数月升级版金立M5 Plus赶在2015年末12月21日正式发布。除了将前代M5上5.5英寸的屏幕升级到了6英寸AMOLED屏幕,搭载正面按压式指纹识别,金立M5 Plus还继承了这一系列的超长续航的优良传统,究竟这部有着5020mAh的长续航机型到底表现如何呢?让我们进入今天的续航评测。

5020mAh+双充电 金立M5 Plus续航测试

金立M5 Plus续航测试

在人们日常生活中,已经离不开手机,尤其对于商务人士来说,手机续航成了选购手机的要点,金立M5 Plus一块一块容量5020mAh的电池隐藏在仅8.4mm的厚度的机身内,在目前电池研发制造技术无法取得突破的大背景下,更大的电池容量绝对意味着更久的续航时间。

5020mAh+双充电 金立M5 Plus续航测试

金立M5 Plus正面配备了一块高达6.0英寸的AMOLED屏幕

金立M5 Plus正面配备了一块高达6.0英寸的AMOLED屏幕,分辨率为1920x1080像素,整个屏幕色彩十分饱满鲜艳,看起来十分舒服,另外该机屏占比相当高,所以并不会感觉不便。得益于大屏幕带来的视觉体验的提升吗,让影音娱乐也成为一种享受。

其他配置方面,该机搭载联发科MT6753,初始频率为1.5GHz,GPU图片方面则整合Mali-T720MP3,搭配3GB RAM和64GB ROM,相机采用了1300万像素置摄像头和500万前置摄像头。

双充电+OTG反充

金立在拥有大容量的电池之外,还加入了双充电芯片技术,不仅将充电功率提升了一倍以上,也完成了对于温度控制和充电速度的提升。如果你是使用9V2A电源适配器,不到两个小时就可以把金立M5 Plus充电完毕,而且在充电速度更快,电量供应也会更加安全。

金立M5 Plus配双电芯 续航久充电快
双电芯设计让充电速度更快、发热更低

除此之外,金立M5 Plus还拥有OTG反向充电功能,对于经常出差的商务人士来说,多台手机在身早已是平常事,5020mAh电池和"反向充电"功能的加入,让你不必过于其他手机担心电量不足。

GPU场景识别

系统加入了应用识别功能。其原理是调动GPU,自动对诸如微信、微博、游戏、导航、浏览器等高耗电场景中的图像处理算法进行优化,从而实现对整体功耗15%-40%的下降,当系统识别到用户正在使用的App对于图形处理性能要求不是很高的话,那么特定的图形处理算法就可以通过优化降低实际功耗。

精确耗电管理

大多数手机消费者,都没有随手关闭后台应用的习惯,所以不难发现,即使你处于待机状态之下,但大量的后台应用在消耗电量。

5020mAh+双充电 金立M5 Plus续航测试

5020mAh+双充电 金立M5 Plus续航测试

金立M5 Plus加入了高耗电应用提醒功能

针对这种情况,金立M5 Plus加入了高耗电应用提醒功能,当后台耗电到了某个设定的数值之后,就会提醒耗电情况,用户可以根据实际需要自行选择关闭或者忽略,帮助用户更清晰的进行耗电管理。

废话不多说,让我进入续航环节。按照新评测标准进行方法如下:

测试过程分为六项,依次为音乐播放(30分钟)、视频播放(45分钟)、手机游戏(45分钟)、连续通话(15分钟)、电子书阅读(30分钟)以及微博浏览(15分钟)。测试过程中手机全程开启WiFi,屏幕亮度设为中度,外放音量中等,除通话测试外均不插卡。

本次测试使用的测试标准中包括从娱乐影音到通话上网共六项测试,持续时间近3小时左右,从100%电量开始,六项测试按照音乐播放、视频播放、手机游戏、通话、电子书阅读、微博浏览的顺序依次进行。

5020mAh+双充电 金立M5 Plus续航测试

首先来看该机充电表现,金立M5 Plus配备了双电芯,实际充电时输入达到了9.4V-1.47A,电量用至自动关机后10分钟内马上就能冲到9%,电量充至60%需要耗时76分钟,充满100%共耗时163分钟,对于拥有高达5000+mAh电池的手机,可以说充电效率非常高。

5020mAh+双充电 金立M5 Plus续航测试 5020mAh+双充电 金立M5 Plus续航测试 音乐播放30分钟后耗电2%

在进行音乐播放中,音量为50%外放,使用网易云音乐软件在线连续播放30分钟后消耗2%,电量下降至98%。在播放1080P本地视频播放测试结束后的电量为93%,将近50分钟的高清视频消耗5%的电量。

5020mAh+双充电 金立M5 Plus续航测试

45分钟《狂野飙车8》总共消耗约12%的电量

游戏环节,45分钟后,总共消耗约12%的电量。这个成绩在测试中的手机中属于非常不错的水平了,游戏运行流畅,画面特效真实自然,并没有发现掉帧卡段的现象,测试该项发热虽不可避免,但在可接受范围内。

5020mAh+双充电 金立M5 Plus续航测试 5020mAh+双充电 金立M5 Plus续航测试 16分钟通话仅消耗2%的电量

5020mAh+双充电 金立M5 Plus续航测试 5020mAh+双充电 金立M5 Plus续航测试 30分钟电子书自动阅读消耗7%的电量

通话测试中,由于笔者疏忽,15分钟变成了16分钟,但通话也仅消耗2%。30分钟电子书阅读测试,电子书阅读时屏幕为中等亮度,采取自动翻页的形式,30分钟后耗电约为7%。在最后一个环节微博中偶尔观看小视频,15分钟刷微博测试大约耗电3%,全部结束后剩余电量69%。

5020mAh+双充电 金立M5 Plus续航测试

金立M5 Plus放电图

连续播放视频5.5小时

评测标准所有环节测试完毕后,金立M5 Plus还剩余69%的电量,在笔者进行了一些琐事操作之后,电量为62%。笔者也开始进行另外一项测试。在手机上打开优酷应用,Wi-Fi环境下缓冲一段35分钟的视频(清晰度为高清),之后进行循环播放,用以测试手机在一种模式下的续航能力。测试前将手机屏幕亮度调至一半、音量50%、视频播放时屏幕持续保持亮屏状态。

5020mAh+双充电 金立M5 Plus续航测试

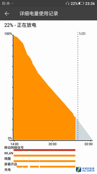
近5.5小时优酷高清视频消耗40%的电量

测试从晚上6点03分开始,因为还剩过半电量,所以笔者并不担心金立M5 Plus的会出现关机,将手机塞入包中等待其耗电,经过了将近5.5小时的视频播放,电量消耗40%,剩余22%,由此可见金立M5 Plus连续观看视频的话13小时不成问题。

5020mAh+双充电 金立M5 Plus续航测试 5020mAh+双充电 金立M5 Plus续航测试 不同阶段电量图

评测总结:3小时的重度使用之后,剩余电量为69%。从使用情况来看,即使游戏环节也并未掉太多的点,而49分钟视频仅仅消耗5%的电量,如果仅是用于观看视频,那么拥有6英寸超大屏幕的金立M5 Plus一定会令你满意。整体重度使用一天完全没有压力,作为一部国产手机,无论是优秀的续航能力,还是精细的做工细节,都向用户表明它是一部实用且好用的手机。如果你最近想更换手机的话,这台手机一定可以纳入考虑范围。

原创文章,作者:editor,如若转载,请注明出处:http://www.antutu.com/doc/123.htm

相关推荐

登录后才能评论

评论列表 ( )

返回
顶部